
いまだに一部の人々からは、子どもに害をなす存在として取りざたされがちなビデオゲームですが、2022年1月1日付でWorld Health Organization(WHO)によりゲーム障害(Gaming disorder)を含めた「国際疾病分類の第11回改訂版(ICD-11)」が発効されました。
一方日本国内では、2020年4月1日に香川県にて施行された子供(18歳未満)のゲーム、およびネット利用を一日当たり60分(休日の場合は90分)制限する「香川県ネット・ゲーム依存症対策条例」(以下、ゲーム規制条例)が制定され、香川県議会はその背景としてWHOが“ゲーム障害”を定義している点を挙げています。

こうして政治の場でも注目されるゲームの是非ですが、学問の世界ではこのように立法事実に反した結論に至った研究が多くあります。筆者は専門ではありませんが、アメリカ留学時に心理学を専攻していました。当時習得した知見などをベースに、研究の中でも青少年の学力とゲームの関係に着目したものと、その中で提示された問題点を参照しながら香川県議会が主張するゲーム規制条例の根拠を掘り下げていこうと思います。それなりのボリュームとなるので、先に本稿のポイントをまとめておきましょう。
本稿のポイント
国際的な研究ではゲームと学力低下の間に関係は見つからなかった。
ゲーム規制条例の資料は臨床的証拠としては弱い
香川県議会の調査方法ではゲームの悪影響を証明できない
学力とゲームの関係に着目した研究とは
今回紹介する研究は、2009年に「ゲームのプレイ頻度が青少年の学力にどのくらい影響するか」を明らかにするために行われたもので、論文は豪・フリンダース大学のアーロン・ドラモンド教授と英・ポーツマス大学のジェームズ・D・ザウアー教授により執筆されました。論文においてドラモンド教授らは、「既存の文献には多くの体系的な限界があるゆえにゲームと学力の関係を判断するのは難しい」と語り、その中でも3つの問題点を挙げています。
1つ目は、教師の先入観に左右される学校の成績や、学生による自己診断を学力の指標として採用すると主観性に影響を受けてしまう点。2つ目は、特定の地域の学校のみを調査した結果、社会文化的影響を受けてしまう点。そして3つ目には、研究対象(サンプル)の数が少なすぎて信頼性を低下させてしまう点を挙げました。
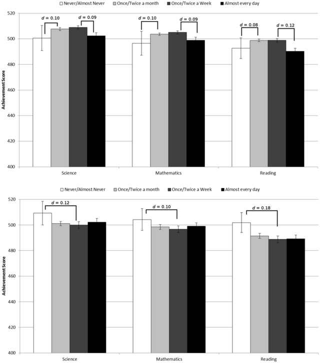
これらの問題を避けるために、ドラモンド教授らは研究にて科学、数学、読解力の3つに渡る能力をOECD生徒の学習到達度調査(PISA)に使われるテストを使い主観性を排除し、先進国22国の15歳以上の生徒約20万人を対象にしたことで社会文化性の影響とサンプル数の不足を解決しました。生徒たちには、ゲームプレイ頻度をシングルプレイとマルチプレイ別に申告させることで、プレイスタイルによる違いもあわせて調査したとのことです。
学力の低下とゲームに関係はあるのか?
研究結果によると、科学、数学、読解力の低下とシングル、マルチ、ゲーム頻度共に関係は見られず、ゲームと学力低下を関連付ける当時の「世間の主張」と反するものとなりました。先行研究では、ゲームと学力低下を関連付けるものもありましたが、ドラモンド教授らは、この差異はPISAのテストが先行研究で使われた指標より客観的であったことや、「ゲームが学業に支障をきたすと判断した生徒本人やその親などがプレイをやめる、または控えさせている可能性」、そして普段からゲームをしているゲーマーは「ゲームと学業を両立させることに慣れているのでゲームによる負の影響を抑えられているのではないか」と考察しています。








